Habilitação em linguagens de programação

Bem-vindo ao pré-teste de Programação. Teste seus conhecimentos em lógica de programação para o acompanhamento das aulas de VBA, Java, PHP e entre outras linguagens de programação.
Responda todas as questões e ao final clique no botão "Enviar" para transmitir seu teste.
Importante: você poderá enviar seu teste apenas uma vez para nossos servidores, portanto preste atenção em suas respostas.
Boa sorte!

 

Nome completo:

Email:

Telefone:

 

1) Qual a definição de algorítmo?

é uma sequência infinita de ações executáveis que visam obter uma solução para um determinado tipo de problema
é uma sequência finita de ações executáveis que visam obter uma solução para um determinado tipo de problema
é um processo manual que é utilizado para validar a lógica de um determinado programa
é um diagrama que descreve um processo, sistema ou programa informatizado


2) Uma variável que recebe somente valor "verdadeiro" ou "falso" é conhecido como um tipo de dado...:

texto
numérico
booleano
data/hora


3) Analise o fluxograma abaixo e responda:

a) qual o valor de Y será exibido no final do programa?

2 3 5 8

b) qual o papel da variável "Y" no fluxograma?

a variável é um ponteiro
a variável é um contador
a variável é um acumulador
a variável é uma condicional

c) quantas vezes o valor de "Y" será somado pela rotina?

1 vez 2 vezes 3 vezes 4 vezes

d) qual o papel da variável "X" no fluxograma?

a variável não serve para nada
a variável é um contador
a variável é um acumulador
a variável é uma condicional


4) Em uma chapeira sabe-se que podemos assar ao mesmo apenas dois hamburgueres. O tempo para assar um lado do hámburguer leva 1 minuto. Pergunta-se: em quanto tempo é possível assar 3 hamburgueres em ambos os lados com o menor tempo possível?

2 minutos 3 minutos 4 minutos 6 minutos


5) Dado os seguintes valores nas variáveis:

A = 10 B = 20 C = 30 D = 40

Qual será o resultado obtido na fórmula A + B * C - D / A ?

86 57 -30 606


6) Qual o significado dos três diagramas, respectivamente da esquerda para direita, usado em fluxogramas?

entrada de dados via teclado, exibição de dados, decisão
decisão, entrada de dados via teclado, exibição de dados
exibição de dados, decisão, entrada de dados via teclado
entrada de dados via teclado, decisão, exibição de dados


7) Analise o fluxograma:

Qual mensagem deverá ser exibida se a condição for verdadeira?

O número é par
O número é ímpar
O número é primo
nenhuma das alternativas


8) No fluxograma abaixo deseja-se obter a soma de todos os números entre 1 e 10. Existe um erro de lógica neste fluxograma que impede a somatória alcançar o valor de 55. Selecione a alternativa que explica a razão do erro:

O laço não será executado pois a condição sempre será falsa
Não existe um laço neste fluxograma
A condição correta deveria ser "C >= 10"
A condição do laço está errada, deveria ser "C <= 10"


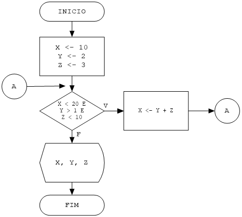
9) Qual o valor de X, Y e Z que será exibido no fim da execução?

X = 10, Y = 2, Z = 3
X = 5, Y = 2, Z = 3
X = 0, Y = 0, Z = 0
Nunca serão exibidos os valores de X, Y e Z


10) Considere X = verdadeiro, Y = verdadeiro, Z = falso. Qual o resultado da avaliação das seguintes expressões?

a) (X e Y) ou (X ou Z)
b) (X e Y e Z) ou (Y e Z)
c) X e Z e não Y

a) Verdadeiro - b) Verdadeiro - c) Verdadeiro
a) Verdadeiro - b) Falso - c) Falso
a) Falso - b) Falso - c) Falso
a) Falso - b) Verdadeiro - c) Verdadeiro